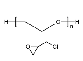
英文名稱:Epoxide-PEG-Epoxide 分子式:[H]CCo[H].ClCC1OC1.[N] 分子量:1K,2K,3.4K,5K,10K,20K
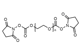
英文名稱:NHS-PEG-NHS 分子式:C10H8N2O9(C2H4O)N 分子量:1K,2K,3.4K,5K,10K,20K
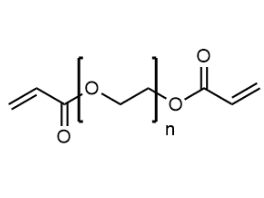
英文名稱:ACA-PEG-ACA 分子式:(C2H4O)NC10H16N2O3 分子量:1K,2K,3.4K,5K,10K,20K
英文名稱:NH2-PEG-NH2 分子式:C2H8N2O(C2H4O)N 分子量:1K,2K,3.4K,5K,10K,20K
英文名稱:AC-PEG-AC 分子式:(C2H4O)NC6H6O3 分子量:1K,2K,3.4K,5K,10K,20K
英文名稱:PLGA-PEG-PLGA 分子式: 分子量:1K,2K,5K,10k,20k
英文名稱:NCO-PEG-NCO 分子式: 分子量:1K,2K,5K,10k,20k
英文名稱:VS-PEG-VS 分子式: 分子量:1K,2K,5K,10k,20k
英文名稱:NPC-PEG-NPC 分子式: 分子量:1K,2K,5K,10k,20k
英文名稱:Hydrazide-PEG-Hydrazide 分子式: 分子量:1K,2K,5K,10k,20k